/

AMC10 2011 A

AMC10 2011 A · Q24

AMC10 2011 A · Q24. It mainly tests Angle chasing, 3D geometry (volume).

Two distinct regular tetrahedra have all their vertices among the vertices of the same unit cube. What is the volume of the region formed by the intersection of the tetrahedra?
有两个不同的正四面体,它们的所有顶点都在同一个单位立方体的顶点上。这两个四面体的交集区域的体积是多少?
(A) $\frac{1}{12}$ $\frac{1}{12}$
(B) $\frac{\sqrt{2}}{12}$ $\frac{\sqrt{2}}{12}$
(C) $\frac{\sqrt{3}}{12}$ $\frac{\sqrt{3}}{12}$
(D) $\frac{1}{6}$ $\frac{1}{6}$
(E) $\frac{\sqrt{2}}{6}$ $\frac{\sqrt{2}}{6}$
Answer
Correct choice: (D)
正确答案:(D)
Solution
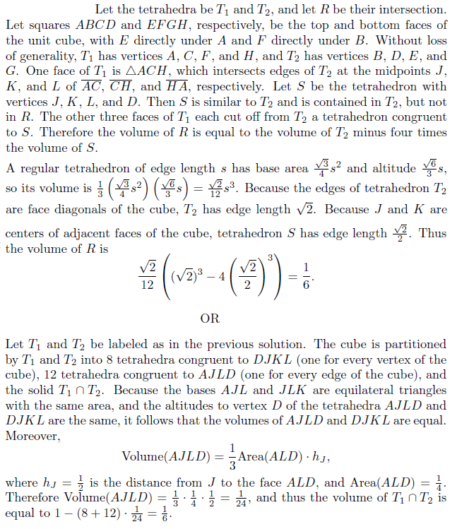
Answer (D): Let the tetrahedra be \(T_1\) and \(T_2\), and let \(R\) be their intersection. Let squares \(ABCD\) and \(EFGH\), respectively, be the top and bottom faces of the unit cube, with \(E\) directly under \(A\) and \(F\) directly under \(B\). Without loss of generality, \(T_1\) has vertices \(A, C, F,\) and \(H\) and \(T_2\) has vertices \(B, D, E,\) and \(G\). One face of \(T_1\) is \(\triangle ACH\), which intersects edges of \(T_2\) at the midpoints \(J, K,\) and \(L\) of \(AC, CH,\) and \(HA\), respectively. Let \(S\) be the tetrahedron with vertices \(J, K, L,\) and \(D\). Then \(S\) is similar to \(T_2\) and is contained in \(T_2\), but not in \(R\). The other three faces of \(T_1\) each cut off from \(T_2\) a tetrahedron congruent to \(S\). Therefore the volume of \(R\) is equal to the volume of \(T_2\) minus four times the volume of \(S\). A regular tetrahedron of edge length \(s\) has base area \(\frac{\sqrt{3}}{4}s^2\) and altitude \(\frac{\sqrt{6}}{3}s\), so its volume is \[ \frac{1}{3}\left(\frac{\sqrt{3}}{4}s^2\right)\left(\frac{\sqrt{6}}{3}s\right)=\frac{\sqrt{2}}{12}s^3. \] Because the edges of tetrahedron \(T_2\) are face diagonals of the cube, \(T_2\) has edge length \(\sqrt{2}\). Because \(J\) and \(K\) are centers of adjacent faces of the cube, tetrahedron \(S\) has edge length \(\frac{\sqrt{2}}{2}\). Thus the volume of \(R\) is \[ \frac{\sqrt{2}}{12}\left((\sqrt{2})^3-4\left(\frac{\sqrt{2}}{2}\right)^3\right)=\frac{1}{6}. \]
答案(D):设两个四面体为 \(T_1\) 与 \(T_2\),它们的交集为 \(R\)。设正方形 \(ABCD\) 与 \(EFGH\) 分别为单位立方体的上、下底面,其中 \(E\) 在 \(A\) 的正下方,\(F\) 在 \(B\) 的正下方。不失一般性,\(T_1\) 的顶点为 \(A, C, F, H\),\(T_2\) 的顶点为 \(B, D, E, G\)。\(T_1\) 的一个面是 \(\triangle ACH\),它与 \(T_2\) 的棱分别在 \(AC, CH, HA\) 的中点 \(J, K, L\) 处相交。设四面体 \(S\) 的顶点为 \(J, K, L, D\)。则 \(S\) 与 \(T_2\) 相似,且包含于 \(T_2\) 中,但不在 \(R\) 中。\(T_1\) 的其余三个面也都会从 \(T_2\) 中切去一个与 \(S\) 全等的四面体。因此,\(R\) 的体积等于 \(T_2\) 的体积减去 \(4\) 倍的 \(S\) 的体积。 边长为 \(s\) 的正四面体底面积为 \(\frac{\sqrt{3}}{4}s^2\),高为 \(\frac{\sqrt{6}}{3}s\),因此其体积为 \[ \frac{1}{3}\left(\frac{\sqrt{3}}{4}s^2\right)\left(\frac{\sqrt{6}}{3}s\right)=\frac{\sqrt{2}}{12}s^3. \] 由于四面体 \(T_2\) 的棱是立方体的面对角线,所以 \(T_2\) 的棱长为 \(\sqrt{2}\)。又因为 \(J\) 与 \(K\) 是立方体相邻两个面的中心,所以四面体 \(S\) 的棱长为 \(\frac{\sqrt{2}}{2}\)。因此 \(R\) 的体积为 \[ \frac{\sqrt{2}}{12}\left((\sqrt{2})^3-4\left(\frac{\sqrt{2}}{2}\right)^3\right)=\frac{1}{6}. \]
solution solution
Topics
Related Questions
Practice full AMC exams on amcdrill.
Try full-length practice and diagnostics at www.amcdrill.com.