/

AMC12 2013 B

You are not logged in. After submit, your report may not be available on other devices. Login

AMC12 · 2013 (B)

Q1
On a particular January day, the high temperature in Lincoln, Nebraska, was 16 degrees higher than the low temperature, and the average of the high and low temperatures was $3^{\circ}$. In degrees, what was the low temperature in Lincoln that day?
在某个特定的1月一天,林肯(内布拉斯加州)最高气温比最低气温高16度,而最高和最低气温的平均值为$3^{\circ}$。那天林肯的最低气温是多少度?
Correct Answer: C
The difference between the high and low temperatures was 16 degrees, so the difference between each of these and the average temperature was 8 degrees. The low temperature was 8 degrees less than the average, so it was $3^{\circ}-8^{\circ}=-5^{\circ}$.
最高和最低气温的差是16度,因此它们与平均气温的差各为8度。最低气温比平均气温低8度,因此是$3^{\circ}-8^{\circ}=-5^{\circ}$。
Q2
Mr. Green measures his rectangular garden by walking two of the sides and finds that it is 15 steps by 20 steps. Each of Mr. Green’s steps is 2 feet long. Mr. Green expects a half a pound of potatoes per square foot from his garden. How many pounds of potatoes does Mr. Green expect from his garden?
格林先生通过步行测量他的矩形花园的两条边,发现是15步乘20步。格林先生每步长2英尺。他期望花园每平方英尺产半磅土豆。格林先生期望从他的花园收获多少磅土豆?
Correct Answer: A
The garden is $2 \cdot 15 = 30$ feet by $2 \cdot 20 = 40$ feet. Hence Mr. Green expects $\frac{1}{2} \cdot 30 \cdot 40 = 600$ pounds of potatoes.
花园是$2 \cdot 15 = 30$英尺乘$2 \cdot 20 = 40$英尺。因此格林先生期望$\frac{1}{2} \cdot 30 \cdot 40 = 600$磅土豆。
Q3
When counting from 3 to 201, 53 is the 51st number counted. When counting backwards from 201 to 3, 53 is the $n$th number counted. What is $n$?
从3数到201时,53是第51个数。从201反向数到3时,53是第$n$个数。$n$是多少?
Correct Answer: D
The number 201 is the 1st number counted when proceeding backwards from 201 to 3. In turn, 200 is the 2nd number, 199 is the 3rd number, and $x$ is the $(202 - x)$th number. Therefore 53 is the $(202 - 53)$th number, which is the 149th number.
从201到3反向数时,201是第1个数,200是第2个数,199是第3个数,$x$是第$(202 - x)$个数。因此53是第$(202 - 53)$个数,即第149个数。
Q4
Ray’s car averages 40 miles per gallon of gasoline, and Tom’s car averages 10 miles per gallon of gasoline. Ray and Tom each drive the same number of miles. What is the cars’ combined rate of miles per gallon of gasoline?
雷的车平均每加仑汽油行驶40英里,汤姆的车平均每加仑汽油行驶10英里。雷和汤姆各开相同的里程。两车的综合每加仑汽油里程数是多少?
Correct Answer: B
Answer (B): Let $D$ equal the distance traveled by each car. Then Ray’s car uses $\frac{D}{40}$ gallons of gasoline and Tom’s car uses $\frac{D}{10}$ gallons of gasoline. The cars combined miles per gallon of gasoline is \[ \frac{2D}{\left(\frac{D}{40}+\frac{D}{10}\right)}=16. \]
答案(B):设 $D$ 表示每辆车行驶的距离。那么 Ray 的车耗油 $\frac{D}{40}$ 加仑,Tom 的车耗油 $\frac{D}{10}$ 加仑。两车合计的每加仑行驶里程为 \[ \frac{2D}{\left(\frac{D}{40}+\frac{D}{10}\right)}=16。 \]
Q5
The average age of 33 fifth-graders is 11. The average age of 55 of their parents is 33. What is the average age of all of these parents and fifth-graders?
33名五年级学生的平均年龄是11岁。他们55位家长的平均年龄是33岁。所有这些家长和五年级学生的平均年龄是多少?
Correct Answer: C
Answer (C): The sum of all the ages is $55\cdot 33 + 33\cdot 11 = 33\cdot 66$, so the average of all the ages is $$ \frac{33\cdot 66}{55+33}=\frac{33\cdot 66}{88}=\frac{33\cdot 3}{4}=24.75. $$
答案(C):所有年龄的总和为$55\cdot 33 + 33\cdot 11 = 33\cdot 66$,因此所有年龄的平均数为 $$ \frac{33\cdot 66}{55+33}=\frac{33\cdot 66}{88}=\frac{33\cdot 3}{4}=24.75。 $$
Q6
Real numbers $x$ and $y$ satisfy the equation $x^2 + y^2 = 10x -6y -34$. What is $x + y$?
实数 $x$ 和 $y$ 满足方程 $x^2 + y^2 = 10x -6y -34$。$x + y$ 等于多少?
Correct Answer: B
Answer (B): By completing the square the equation can be rewritten as follows: $x^2 + y^2 = 10x - 6y - 34,$ $x^2 - 10x + 25 + y^2 + 6y + 9 = 0,$ $(x - 5)^2 + (y + 3)^2 = 0.$ Therefore $x = 5$ and $y = -3$, so $x + y = 2$.
答案(B):通过配方法,该方程可改写如下: $x^2 + y^2 = 10x - 6y - 34,$ $x^2 - 10x + 25 + y^2 + 6y + 9 = 0,$ $(x - 5)^2 + (y + 3)^2 = 0.$ 因此 $x = 5$ 且 $y = -3$,所以 $x + y = 2$。
Q7
Jo and Blair take turns counting from 1 to one more than the last number said by the other person. Jo starts by saying “1”, so Blair follows by saying “1, 2”. Jo then says “1, 2, 3”, and so on. What is the 53rd number said?
Jo 和 Blair 轮流从 1 数到对方最后说的数加一。Jo 先说“1”,Blair 接着说“1, 2”。Jo 然后说“1, 2, 3”,依此类推。第 53 个说的数是多少?
Correct Answer: E
Answer (E): Note that Jo starts by saying 1 number, and this is followed by Blair saying 2 numbers, then Jo saying 3 numbers, and so on. After someone completes her turn after saying the number $n$, then $1+2+3+\cdots+n=\frac{1}{2}n(n+1)$ numbers have been said. If $n=9$ then 45 numbers have been said. Therefore there are $53-45=8$ more numbers that need to be said. The 53rd number said is 8.
答案(E):注意,Jo 先说 1 个数,接着 Blair 说 2 个数,然后 Jo 说 3 个数,依此类推。当某人在说完数字 $n$ 后完成她的回合时,已经说过的数字个数为 $1+2+3+\cdots+n=\frac{1}{2}n(n+1)$。若 $n=9$,则已经说了 45 个数。因此还需要再说 $53-45=8$ 个数。第 53 个说出的数是 8。
Q8
Line $\ell_1$ has equation $3x -2y = 1$ and goes through $A = (-1, -2)$. Line $\ell_2$ has equation $y = 1$ and meets line $\ell_1$ at point $B$. Line $\ell_3$ has positive slope, goes through point $A$, and meets $\ell_2$ at point $C$. The area of $\triangle ABC$ is 3. What is the slope of $\ell_3$?
直线 $\ell_1$ 的方程为 $3x -2y = 1$,经过点 $A = (-1, -2)$。直线 $\ell_2$ 的方程为 $y = 1$,与直线 $\ell_1$ 相交于点 $B$。直线 $\ell_3$ 有正斜率,经过点 $A$,与 $\ell_2$ 相交于点 $C$。三角形 $\triangle ABC$ 的面积为 3。求 $\ell_3$ 的斜率。
Correct Answer: B
Answer (B): The solution to the system of equations $3x-2y=1$ and $y=1$ is $B=(x,y)=(1,1)$. The perpendicular distance from $A$ to $BC$ is $3$. The area of $\triangle ABC$ is $\frac{1}{2}\cdot 3\cdot BC=3$, so $BC=2$. Thus point $C$ is $2$ units to the right or to the left of $B=(1,1)$. If $C=(-1,1)$ then the line $AC$ is vertical and the slope is undefined. If $C=(3,1)$, then the line $AC$ has slope $\dfrac{1-(-2)}{3-(-1)}=\dfrac{3}{4}$.
答案(B):方程组 $3x-2y=1$ 和 $y=1$ 的解为 $B=(x,y)=(1,1)$。从 $A$ 到 $BC$ 的垂直距离为 $3$。$\triangle ABC$ 的面积为 $\frac{1}{2}\cdot 3\cdot BC=3$,因此 $BC=2$。所以点 $C$ 在 $B=(1,1)$ 的右侧或左侧各 $2$ 个单位处。若 $C=(-1,1)$,则直线 $AC$ 为竖直线,斜率不存在。若 $C=(3,1)$,则直线 $AC$ 的斜率为 $\dfrac{1-(-2)}{3-(-1)}=\dfrac{3}{4}$。
Q9
What is the sum of the exponents of the prime factors of the square root of the largest perfect square that divides $12!$?
求能整除 $12!$ 的最大的完全平方的平方根的质因数的指数之和。
Correct Answer: C
Answer (C): Because 12! = $2^{10}\cdot 3^{5}\cdot 5^{2}\cdot 7\cdot 11$, the largest perfect square that divides 12! is $2^{10}\cdot 3^{4}\cdot 5^{2}$ which has square root $2^{5}\cdot 3^{2}\cdot 5$. The sum of the exponents is $5+2+1=8$.
答案(C):因为 $12!=2^{10}\cdot 3^{5}\cdot 5^{2}\cdot 7\cdot 11$,所以整除 $12!$ 的最大完全平方数是 $2^{10}\cdot 3^{4}\cdot 5^{2}$,其平方根为 $2^{5}\cdot 3^{2}\cdot 5$。指数之和为 $5+2+1=8$。
Q10
Alex has 75 red tokens and 75 blue tokens. There is a booth where Alex can give two red tokens and receive in return a silver token and a blue token, and another booth where Alex can give three blue tokens and receive in return a silver token and a red token. Alex continues to exchange tokens until no more exchanges are possible. How many silver tokens will Alex have at the end?
Alex 有 75 个红代币和 75 个蓝代币。有一个摊位,Alex 可以交 2 个红代币换取 1 个银代币和 1 个蓝代币;另一个摊位,可以交 3 个蓝代币换取 1 个银代币和 1 个红代币。Alex 继续交换直到无法再交换。最终 Alex 有多少银代币?
Correct Answer: E
Answer (E): After Alex makes $m$ exchanges at the first booth and $n$ exchanges at the second booth, Alex has $75-(2m-n)$ red tokens, $75-(3n-m)$ blue tokens, and $m+n$ silver tokens. No more exchanges are possible when he has fewer than $2$ red tokens and fewer than $3$ blue tokens. Therefore no more exchanges are possible if and only if $2m-n\ge 74$ and $3n-m\ge 73$. Equality can be achieved when $(m,n)=(59,44)$, and Alex will have $59+44=103$ silver tokens. Note that the following exchanges produce $103$ silver tokens: \[ \begin{array}{l|c|c|c} & \text{Red Tokens} & \text{Blue Tokens} & \text{Silver Tokens}\\ \hline \text{Exchange 75 blue tokens} & 100 & 0 & 25\\ \text{Exchange 100 red tokens} & 0 & 50 & 75\\ \text{Exchange 48 blue tokens} & 16 & 2 & 91\\ \text{Exchange 16 red tokens} & 0 & 10 & 99\\ \text{Exchange 9 blue tokens} & 3 & 1 & 102\\ \text{Exchange 2 red tokens} & 1 & 2 & 103 \end{array} \]
答案(E):在 Alex 在第一个摊位交换 $m$ 次、在第二个摊位交换 $n$ 次之后,Alex 有 $75-(2m-n)$ 个红色代币、$75-(3n-m)$ 个蓝色代币,以及 $m+n$ 个银色代币。当他的红色代币少于 $2$ 个且蓝色代币少于 $3$ 个时,就无法再继续交换。因此,当且仅当 $2m-n\ge 74$ 且 $3n-m\ge 73$ 时,不能再进行交换。取等号可在 $(m,n)=(59,44)$ 时实现,此时 Alex 将有 $59+44=103$ 个银色代币。 注意:下面这些交换过程会得到 $103$ 个银色代币: \[ \begin{array}{l|c|c|c} & \text{红色代币} & \text{蓝色代币} & \text{银色代币}\\ \hline \text{交换 75 个蓝色代币} & 100 & 0 & 25\\ \text{交换 100 个红色代币} & 0 & 50 & 75\\ \text{交换 48 个蓝色代币} & 16 & 2 & 91\\ \text{交换 16 个红色代币} & 0 & 10 & 99\\ \text{交换 9 个蓝色代币} & 3 & 1 & 102\\ \text{交换 2 个红色代币} & 1 & 2 & 103 \end{array} \]
Q11
Two bees start at the same spot and fly at the same rate in the following directions. Bee A travels 1 foot north, then 1 foot east, then 1 foot upwards, and then continues to repeat this pattern. Bee B travels 1 foot south, then 1 foot west, and then continues to repeat this pattern. In what directions are the bees traveling when they are exactly 10 feet away from each other?
两只蜜蜂从同一位置开始,以相同的速度向以下方向飞行。蜜蜂A向北飞行1英尺,然后向东1英尺,然后向上1英尺,然后继续重复此模式。蜜蜂B向南飞行1英尺,然后向西1英尺,然后继续重复此模式。当它们彼此相距恰好10英尺时,它们正在向哪些方向飞行?
Correct Answer: A
Answer (A): Suppose that the two bees start at the origin and that the positive directions of the $x$, $y$, and $z$ coordinate axes correspond to the directions east, north, and up, respectively. Note that the bees are always getting farther apart from each other. After bee $A$ has traveled 7 feet it will have gone 3 feet north, 2 feet east, and 2 feet up. Its position would be the point $(2,3,2)$. In the same time bee $B$ will have gone 4 feet south and 3 feet west, and its position would be the point $(-3,-4,0)$. This puts them at a distance $$ \sqrt{(2-(-3))^2+(3-(-4))^2+2^2}=\sqrt{78}<10 $$ After this moment, bee $A$ will travel east to the point $(3,3,2)$ and bee $B$ will travel west to the point $(-4,-4,0)$. Their distance after traveling one foot will be $$ \sqrt{(3-(-4))^2+(3-(-4))^2+2^2}=\sqrt{102}>10. $$ Hence bee $A$ is traveling east and bee $B$ is traveling west when they are exactly 10 feet away from each other.
答案(A):设两只蜜蜂从原点出发,并规定坐标轴 $x$、$y$、$z$ 的正方向分别对应向东、向北和向上。注意两只蜜蜂彼此之间的距离始终在增大。当蜜蜂 $A$ 飞行了 7 英尺时,它将向北 3 英尺、向东 2 英尺、向上 2 英尺,因此其位置为点 $(2,3,2)$。在同一时间内,蜜蜂 $B$ 将向南 4 英尺、向西 3 英尺,其位置为点 $(-3,-4,0)$。此时它们之间的距离为 $$ \sqrt{(2-(-3))^2+(3-(-4))^2+2^2}=\sqrt{78}<10 $$ 在此之后,蜜蜂 $A$ 将向东飞到点 $(3,3,2)$,蜜蜂 $B$ 将向西飞到点 $(-4,-4,0)$。它们各再飞行 1 英尺后的距离为 $$ \sqrt{(3-(-4))^2+(3-(-4))^2+2^2}=\sqrt{102}>10. $$ 因此,当它们之间的距离恰好为 10 英尺时,蜜蜂 $A$ 正向东飞行,而蜜蜂 $B$ 正向西飞行。
Q12
Cities A, B, C, D, and E are connected by roads AB, AD, AE, BC, BD, CD, and DE. How many different routes are there from A to B that use each road exactly once? (Such a route will necessarily visit some cities more than once.)
城市A、B、C、D和E通过道路AB、AD、AE、BC、BD、CD和DE连接。从A到B使用每条道路恰好一次的不同路径有多少条?(这样的路径必然会多次访问某些城市。)
stem
Correct Answer: D
Answer (D): Cities $C$ and $E$ and the roads leading in and out of them can be replaced by a second $A-D$ road and a second $B-D$ road, respectively. If routes are designated by the list of cities they visit in order, then there are 4 types of routes: $ABDADB$, $ADABDB$, $ADBADB$, and $ADBDAB$. Each type of route represents 4 actual routes, because the trip between $A$ and $D$ can include the detour through $E$ either the first or the second time, and a similar choice applies for the trip between $B$ and $D$. Therefore there are $4 \cdot 4 = 16$ different routes.
答案(D):城市 $C$ 和 $E$ 以及通往它们并从它们离开的道路,分别可以用第二条 $A-D$ 道路和第二条 $B-D$ 道路来替代。如果把路线用按顺序经过的城市列表来表示,那么共有 4 种路线类型:$ABDADB$、$ADABDB$、$ADBADB$ 和 $ADBDAB$。每种路线类型对应 4 条实际路线,因为在 $A$ 与 $D$ 之间的行程中,绕道经过 $E$ 可以发生在第一次或第二次;同样的选择也适用于 $B$ 与 $D$ 之间的行程。因此共有 $4 \cdot 4 = 16$ 条不同的路线。
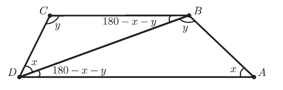
Q13
The internal angles of quadrilateral ABCD form an arithmetic progression. Triangles ABD and DCB are similar with $\angle DBA = \angle DCB$ and $\angle ADB = \angle CBD$. Moreover, the angles in each of these two triangles also form an arithmetic progression. In degrees, what is the largest possible sum of the two largest angles of ABCD?
四边形ABCD的内角形成一个等差数列。三角形ABD和DCB相似,且$\angle DBA = \angle DCB$,$\angle ADB = \angle CBD$。此外,这两个三角形中的角度也形成等差数列。ABCD的两个最大角之和的最大可能值为多少度?
Correct Answer: D
Answer (D): Let the degree measures of the angles be as shown in the figure. The angles of a triangle form an arithmetic progression if and only if the median angle is $60^\circ$, so one of $x$, $y$, or $180-x-y$ must be equal to $60$. By symmetry of the role of the triangles $ABD$ and $DCB$, assume that $x\le y$. Because $x\le y<180-x$ and $x<180-y\le 180-x$, it follows that the arithmetic progression of the angles in $ABCD$ from smallest to largest must be either $x,y,180-y,180-x$ or $x,180-y,y,180-x$. Thus either $x+180-y=2y$, in which case $3y=x+180$; or $x+y=2(180-y)$, in which case $3y=360-x$. Neither of these is compatible with $y=60$ (the former forces $x=0$ and the latter forces $x=180$), so either $x=60$ or $x+y=120$. First suppose that $x=60$. If $3y=x+180$, then $y=80$, and the sequence of angles in $ABCD$ is $(x,y,180-y,180-x)=(60,80,100,120)$. If $3y=360-x$, then $y=100$, and the sequence of angles in $ABCD$ is $(x,180-y,y,180-x)=(60,80,100,120)$. Finally, suppose that $x+y=120$. If $3y=x+180$, then $y=75$, and the sequence of angles in $ABCD$ is $(x,y,180-y,180-x)=(45,75,105,135)$. If $3y=360-x$, then $y=120$ and $x=0$, which is impossible. Therefore, the sum in degrees of the two largest possible angles is $105+135=240$.
答案(D):设各角的度数如图所示。三角形的三个角成等差数列当且仅当中间那个角为 $60^\circ$,因此 $x$、$y$、或 $180-x-y$ 之一必须等于 $60$。由三角形 $ABD$ 与 $DCB$ 的对称性,不妨设 $x\le y$。因为 $x\le y<180-x$ 且 $x<180-y\le 180-x$,可知四边形 $ABCD$ 的四个角从小到大组成的等差数列只能是 $x,y,180-y,180-x$ 或 $x,180-y,y,180-x$。于是要么 $x+180-y=2y$,即 $3y=x+180$;要么 $x+y=2(180-y)$,即 $3y=360-x$。这两种情况都不可能与 $y=60$ 同时成立(前者迫使 $x=0$,后者迫使 $x=180$),因此要么 $x=60$,要么 $x+y=120$。 先设 $x=60$。若 $3y=x+180$,则 $y=80$,此时 $ABCD$ 的角序列为 $(x,y,180-y,180-x)=(60,80,100,120)$。若 $3y=360-x$,则 $y=100$,此时 $ABCD$ 的角序列为 $(x,180-y,y,180-x)=(60,80,100,120)$。再设 $x+y=120$。若 $3y=x+180$,则 $y=75$,此时 $ABCD$ 的角序列为 $(x,y,180-y,180-x)=(45,75,105,135)$。若 $3y=360-x$,则 $y=120$ 且 $x=0$,不可能。 因此,可能出现的两个最大角之和为 $105+135=240$。
solution
Q14
Two non-decreasing sequences of nonnegative integers have different first terms. Each sequence has the property that each term beginning with the third is the sum of the previous two terms, and the seventh term of each sequence is $N$. What is the smallest possible value of $N$?
两个非递减的非负整数序列具有不同的首项。每个序列从第三项开始,每项是前两项之和,且每个序列的第七项均为$N$。$N$的最小可能值为多少?
Correct Answer: C
Answer (C): Let the two sequences be $(a_n)$ and $(b_n)$, and assume without loss of generality that $a_1 < b_1$. The definitions of the sequences imply that $a_7 = 5a_1 + 8a_2 = 5b_1 + 8b_2$, so $5(b_1 - a_1) = 8(a_2 - b_2)$. Because $5$ and $8$ are relatively prime, $8$ divides $b_1 - a_1$ and $5$ divides $a_2 - b_2$. It follows that $a_1 \le b_1 - 8 \le b_2 - 8 \le a_2 - 13$. The minimum value of $N$ results from choosing $a_1 = 0$, $b_1 = b_2 = 8$, and $a_2 = 13$, in which case $N = 104$.
答案(C):设两个数列为$(a_n)$和$(b_n)$,不失一般性,假设$a_1 < b_1$。数列的定义推出 $a_7 = 5a_1 + 8a_2 = 5b_1 + 8b_2$,因此$5(b_1 - a_1) = 8(a_2 - b_2)$。由于$5$和$8$互素,所以$8$整除$b_1 - a_1$,且$5$整除$a_2 - b_2$。于是有$a_1 \le b_1 - 8 \le b_2 - 8 \le a_2 - 13$。当取$a_1 = 0$,$b_1 = b_2 = 8$,$a_2 = 13$时,$N$取得最小值,此时$N = 104$。
Q15
The number 2013 is expressed in the form \[ 2013=\frac{a_1!a_2!\cdots a_m!}{b_1!b_2!\cdots b_n!}, \] where $a_1\ge a_2\ge\cdots\ge a_m$ and $b_1\ge b_2\ge\cdots\ge b_n$ are positive integers and $a_1+b_1$ is as small as possible. What is $|a_1-b_1|$?
数 $2013$ 可以表示为 \[ 2013=\frac{a_1!a_2!\cdots a_m!}{b_1!b_2!\cdots b_n!}, \] 其中 $a_1\ge a_2\ge\cdots\ge a_m$ 与 $b_1\ge b_2\ge\cdots\ge b_n$ 为正整数,并且在所有这样的表示中,$a_1+b_1$ 尽可能小。求 $|a_1-b_1|$。
Correct Answer: B
Answer (B): The prime factorization of 2013 is 3 · 11 · 61. There must be a factor of 61 in the numerator, so $a_1 \ge 61$. Since $a_1!$ will have a factor of 59 and 2013 does not, there must be a factor of 59 in the denominator, and $b_1 \ge 59$. Thus $a_1 + b_1 \ge 120$, and this minimum value can be achieved only if $a_1 = 61$ and $b_1 = 59$. Furthermore, this minimum value is attainable because $$ 2013=\frac{(61!)(11!)(3!)}{(59!)(10!)(5!)}. $$ Thus $\lvert a_1-b_1\rvert=a_1-b_1=61-59=2$.
答案(B):2013 的质因数分解为 $3\cdot 11\cdot 61$。分子中必须有因子 61,所以 $a_1 \ge 61$。由于 $a_1!$ 会含有因子 59,而 2013 不含有 59,因此分母中必须有因子 59,且 $b_1 \ge 59$。因此 $a_1+b_1 \ge 120$,且该最小值只有在 $a_1=61$ 且 $b_1=59$ 时才能取得。此外,该最小值确实可达到,因为 $$ 2013=\frac{(61!)(11!)(3!)}{(59!)(10!)(5!)}. $$ 因此 $\lvert a_1-b_1\rvert=a_1-b_1=61-59=2$。
Q16
Let $ABCDE$ be an equiangular convex pentagon of perimeter $1$. The pairwise intersections of the lines that extend the sides of the pentagon determine a five-pointed star polygon. Let $s$ be the perimeter of this star. What is the difference between the maximum and the minimum possible values of $s$?
设$ABCDE$为一个周长为$1$的等角凸五边形。将五边形各边所在的直线向外延长,这些直线两两相交所确定的交点构成一个五角星形多边形。设该星形的周长为$s$。问$s$的最大可能值与最小可能值之差是多少?
Correct Answer: A
Answer (A): The sum of the internal angles of the pentagon $ABCDE$ is $3\cdot 180^\circ=540^\circ$ and by assumption all internal angles are equal, so they are all equal to $\frac{1}{5}(540^\circ)=108^\circ$. Therefore the supplementary angles at each of the vertices are all equal to $180^\circ-108^\circ=72^\circ$. It follows that all the triangles making up the points of the star are isosceles triangles with angles measuring $72^\circ$, $72^\circ$, and $36^\circ$. Label the rest of the vertices of the star as in the figure. By the above argument, there is a constant $c$ such that $A'C=A'D=c\cdot CD$ and similar expressions for the other four points of the star. Therefore the required perimeter equals \[ A'C+A'D+B'D+B'E+C'A+C'E+D'A+D'B+E'B+E'C =2c(CD+DE+EA+AB+BC)=2c, \] and therefore the maximum and minimum values are the same and their difference is $0$. Note: The constant $c$ equals $\frac{1}{2}\csc\left(\frac{\pi}{10}\right)=\frac{1}{2}(\sqrt{5}+1)$.
答案(A):五边形$ABCDE$的内角和为$3\cdot 180^\circ=540^\circ$,并且由题设五个内角都相等,所以每个内角都等于$\frac{1}{5}(540^\circ)=108^\circ$。因此每个顶点处的补角都等于$180^\circ-108^\circ=72^\circ$。于是构成星形各尖角的三角形都是等腰三角形,其三个角分别为$72^\circ$、$72^\circ$和$36^\circ$。按图所示标出星形其余各顶点。由上述论证,存在常数$c$使得$A'C=A'D=c\cdot CD$,并且星形另外四个尖角也有类似的关系。因此所求周长为 \[ A'C+A'D+B'D+B'E+C'A+C'E+D'A+D'B+E'B+E'C =2c(CD+DE+EA+AB+BC)=2c, \] 所以最大值与最小值相同,它们的差为$0$。 注:常数$c$为$\frac{1}{2}\csc\left(\frac{\pi}{10}\right)=\frac{1}{2}(\sqrt{5}+1)$。
solution
Q17
Let $a$, $b$, and $c$ be real numbers such that $$ \begin{cases} a+b+c=2, \text{ and}\\ a^2+b^2+c^2=12. \end{cases} $$ What is the difference between the maximum and minimum possible values of $c$?
设 $a$、$b$、$c$ 为实数,满足 $$ \begin{cases} a+b+c=2,\text{且}\\ a^2+b^2+c^2=12。 \end{cases} $$ 求 $c$ 的最大可能值与最小可能值之差是多少?
Correct Answer: D
Answer (D): From the equations, $a+b=2-c$ and $a^2+b^2=12-c^2$. Let $x$ be an arbitrary real number, then $(x-a)^2+(x-b)^2\ge 0$; that is, $2x^2-2(a+b)x+(a^2+b^2)\ge 0$. Thus $2x^2-2(2-c)x+(12-c^2)\ge 0$ for all real values $x$. That means the discriminant $4(2-c)^2-4\cdot 2(12-c^2)\le 0$. Simplifying and factoring gives $(3c-10)(c+2)\le 0$. So the range of values of $c$ is $-2\le c\le \frac{10}{3}$. Both maximum and minimum are attainable by letting $(a,b,c)=(2,2,-2)$ and $(a,b,c)=(-\frac{2}{3},-\frac{2}{3},\frac{10}{3})$. Therefore the difference between the maximum and minimum possible values of $c$ is $\frac{10}{3}-(-2)=\frac{16}{3}$.
答案(D): 由方程可得,$a+b=2-c$ 且 $a^2+b^2=12-c^2$。令 $x$ 为任意实数,则 $(x-a)^2+(x-b)^2\ge 0$;即 $2x^2-2(a+b)x+(a^2+b^2)\ge 0$。因此 $2x^2-2(2-c)x+(12-c^2)\ge 0$ 对所有实数 $x$ 都成立。这意味着判别式 $4(2-c)^2-4\cdot 2(12-c^2)\le 0$。化简并因式分解得 $(3c-10)(c+2)\le 0$。所以 $c$ 的取值范围为 $-2\le c\le \frac{10}{3}$。取 $(a,b,c)=(2,2,-2)$ 与 $(a,b,c)=(-\frac{2}{3},-\frac{2}{3},\frac{10}{3})$ 时分别可达到最小值与最大值。因此 $c$ 的最大可能值与最小可能值之差为 $\frac{10}{3}-(-2)=\frac{16}{3}$。
Q18
Barbara and Jenna play the following game, in which they take turns. A number of coins lie on a table. When it is Barbara’s turn, she must remove 2 or 4 coins, unless only one coin remains, in which case she loses her turn. When it is Jenna’s turn, she must remove 1 or 3 coins. A coin flip determines who goes first. Whoever removes the last coin wins the game. Assume both players use their best strategy. Who will win when the game starts with 2013 coins and when the game starts with 2014 coins?
Barbara 和 Jenna 玩下面这个轮流进行的游戏。桌上有若干枚硬币。轮到 Barbara 时,她必须拿走 2 枚或 4 枚硬币;但如果桌上只剩 1 枚硬币,则她这一回合无法行动并失去回合。轮到 Jenna 时,她必须拿走 1 枚或 3 枚硬币。由掷硬币决定谁先手。拿走最后一枚硬币的人赢得游戏。假设双方都采用最优策略:当游戏开始时有 2013 枚硬币,以及当开始时有 2014 枚硬币,分别是谁会获胜?
Correct Answer: B
Answer (B): If the game starts with 2013 coins and Jenna starts, then she picks 3 coins, and then no matter how many Barbara chooses, Jenna responds by keeping the number of remaining coins congruent to 0 (mod 5). That is, she picks 3 if Barbara picks 2, and she picks 1 if Barbara picks 4. This ensures that on her last turn Jenna will leave 0 coins and thus she will win. Similarly, if Barbara starts, then Jenna can reply as before so that the number of remaining coins is congruent to 3 (mod 5). On her last turn Barbara will have 3 coins available. She is forced to remove 2 and thus Jenna will win by taking the last coin. If the game starts with 2014 coins and Jenna starts, then she picks 1 coin and reduces the game to the previous case of 2013 coins where she wins. If Barbara starts, she selects 4 coins. Then no matter what Jenna chooses, Barbara responds by keeping the number of remaining coins congruent to 0 (mod 5). This ensures that on her last turn Barbara will leave 0 coins and win the game. Thus whoever goes first will win the game with 2014 coins.
答案(B): 如果游戏开始时有 2013 枚硬币且 Jenna 先手,那么她先取 3 枚硬币;之后无论 Barbara 取多少,Jenna 都通过应对使剩余硬币数满足 $\equiv 0 \pmod{5}$。也就是说,如果 Barbara 取 2 枚,她就取 3 枚;如果 Barbara 取 4 枚,她就取 1 枚。这样可以保证在她的最后一回合,Jenna 会让硬币剩余 0 枚,从而获胜。类似地,如果 Barbara 先手,那么 Jenna 也可以像之前那样应对,使剩余硬币数满足 $\equiv 3 \pmod{5}$。在 Barbara 的最后一回合时,她将面对剩下 3 枚硬币可取,她被迫取走 2 枚,于是 Jenna 通过取走最后 1 枚硬币获胜。 如果游戏开始时有 2014 枚硬币且 Jenna 先手,那么她先取 1 枚硬币,把游戏化归到前一种 2013 枚硬币的情形,从而获胜。如果 Barbara 先手,她先取 4 枚硬币。之后无论 Jenna 取多少,Barbara 都通过应对使剩余硬币数满足 $\equiv 0 \pmod{5}$。这保证在她的最后一回合,Barbara 会让硬币剩余 0 枚并赢得比赛。因此,在 2014 枚硬币的情形下,谁先手谁就会赢。
Q19
In triangle $ABC$, $AB=13$, $BC=14$, and $CA=15$. Distinct points $D$, $E$, and $F$ lie on segments $\overline{BC}$, $\overline{CA}$, and $\overline{DE}$, respectively, such that $AD\perp BC$, $DE\perp AC$, and $AF\perp BF$. The length of segment $\overline{DF}$ can be written as $\frac{m}{n}$, where $m$ and $n$ are relatively prime positive integers. What is $m+n$?
在三角形 $ABC$ 中,$AB=13$,$BC=14$,$CA=15$。不同的点 $D$、$E$、$F$ 分别在线段 $\overline{BC}$、$\overline{CA}$、$\overline{DE}$ 上,并满足 $AD\perp BC$,$DE\perp AC$,且 $AF\perp BF$。线段 $\overline{DF}$ 的长度可以表示为 $\frac{m}{n}$,其中 $m$ 与 $n$ 为互质的正整数。求 $m+n$。
Correct Answer: B
Answer (B): The Pythagorean Theorem applied to right triangles $ABD$ and $ACD$ gives $AB^2-BD^2=AD^2=AC^2-CD^2$; that is, $13^2-BD^2=15^2-(14-BD)^2$, from which it follows that $BD=5$, $CD=9$, and $AD=12$. Because triangles $AED$ and $ADC$ are similar, $\dfrac{AE}{12}=\dfrac{DE}{9}=\dfrac{12}{15}$, implying that $ED=\dfrac{36}{5}$ and $AE=\dfrac{48}{5}$. Because $\angle AFB=\angle ADB=90^\circ$, it follows that $ABDF$ is cyclic. Thus $\angle ABLD+\angle AFD=180^\circ$ from which $\angle ABD=\angle AFE$. Therefore right triangles $ABD$ and $AFE$ are similar. Hence $\dfrac{FE}{5}=\dfrac{\frac{48}{5}}{12}$, from which it follows that $FE=4$. Consequently $DF=DE-FE=\dfrac{36}{5}-4=\dfrac{16}{5}$.
答案(B):将勾股定理应用于直角三角形 $ABD$ 和 $ACD$,得 $AB^2-BD^2=AD^2=AC^2-CD^2$;即 $13^2-BD^2=15^2-(14-BD)^2$,由此可得 $BD=5$,$CD=9$,且 $AD=12$。因为三角形 $AED$ 与 $ADC$ 相似, $\dfrac{AE}{12}=\dfrac{DE}{9}=\dfrac{12}{15}$, 从而 $ED=\dfrac{36}{5}$,$AE=\dfrac{48}{5}$。 因为 $\angle AFB=\angle ADB=90^\circ$,可知 $ABDF$ 为圆内接四边形。因此 $\angle ABLD+\angle AFD=180^\circ$,从而 $\angle ABD=\angle AFE$。于是直角三角形 $ABD$ 与 $AFE$ 相似。故 $\dfrac{FE}{5}=\dfrac{\frac{48}{5}}{12}$, 由此得到 $FE=4$。因此 $DF=DE-FE=\dfrac{36}{5}-4=\dfrac{16}{5}$。
solution
Q20
For $135^\circ<x<180^\circ$, points $P=(\cos x,\cos^2 x)$, $Q=(\cot x,\cot^2 x)$, $R=(\sin x,\sin^2 x)$, and $S=(\tan x,\tan^2 x)$ are the vertices of a trapezoid. What is $\sin(2x)$?
对于 $135^\circ<x<180^\circ$,点 $P=(\cos x,\cos^2 x)$、$Q=(\cot x,\cot^2 x)$、$R=(\sin x,\sin^2 x)$、$S=(\tan x,\tan^2 x)$ 构成一个梯形的四个顶点。求 $\sin(2x)$。
Correct Answer: A
Answer (A): Because $135^\circ<x<180^\circ$, it follows that $\cos x<0<\sin x$ and $|\sin x|<|\cos x|$. Thus $\tan x<0$, $\cot x<0$, and $$|\tan x|=\frac{|\sin x|}{|\cos x|}<1<\frac{|\cos x|}{|\sin x|}=|\cot x|.$$ Therefore $\cot x<\tan x$. Moreover, $\cot x=\frac{\cos x}{\sin x}<\cos x$. Thus the four vertices $P,Q,R,$ and $S$ are located on the parabola $y=x^2$ and $P$ and $S$ are in between $Q$ and $R$. If $AB$ and $CD$ are chords on the parabola $y=x^2$ such that the $x$-coordinates of $A$ and $B$ are less than the $x$-coordinates of $C$ and $D$, then the slope of $AB$ is less than the slope of $CD$. It follows that the two parallel sides of the trapezoid must be $\overline{QR}$ and $\overline{PS}$. Thus the slope of $\overline{QR}$ is equal to the slope of $\overline{PS}$. Thus, $$\cot x+\sin x=\tan x+\cos x.$$ Multiplying by $\sin x\cos x\ne 0$ and rearranging gives the equivalent identity $$(\cos x-\sin x)(\cos x+\sin x-\sin x\cos x)=0.$$ Because $\cos x-\sin x\ne 0$ in the required range, it follows that $\cos x+\sin x-\sin x\cos x=0$. Squaring and using the fact that $2\sin x\cos x=\sin(2x)$ gives $$1+\sin(2x)=\frac14\sin^2(2x).$$ Solving this quadratic equation in the variable $\sin(2x)$ gives $\sin(2x)=2\pm2\sqrt2$. Because $-1<\sin2x<1$, the only solution is $\sin(2x)=2-2\sqrt2$. There is indeed such a trapezoid for $x=180^\circ+\frac12\arcsin(2-2\sqrt2)\approx152.031^\circ$.
答案(A):因为 $135^\circ<x<180^\circ$,可得 $\cos x<0<\sin x$ 且 $|\sin x|<|\cos x|$。因此 $\tan x<0$,$\cot x<0$,并且 $$|\tan x|=\frac{|\sin x|}{|\cos x|}<1<\frac{|\cos x|}{|\sin x|}=|\cot x|.$$ 所以 $\cot x<\tan x$。另外,$\cot x=\frac{\cos x}{\sin x}<\cos x$。因此四个顶点 $P,Q,R,S$ 都在抛物线 $y=x^2$ 上,且 $P$ 与 $S$ 位于 $Q$ 与 $R$ 之间。若 $AB$ 与 $CD$ 是抛物线 $y=x^2$ 上的弦,并且 $A,B$ 的 $x$ 坐标小于 $C,D$ 的 $x$ 坐标,则弦 $AB$ 的斜率小于弦 $CD$ 的斜率。由此可知该梯形的两条平行边必须是 $\overline{QR}$ 与 $\overline{PS}$。因此 $\overline{QR}$ 的斜率等于 $\overline{PS}$ 的斜率,于是 $$\cot x+\sin x=\tan x+\cos x.$$ 两边同乘 $\sin x\cos x\ne 0$ 并整理,得到等价恒等式 $$(\cos x-\sin x)(\cos x+\sin x-\sin x\cos x)=0.$$ 因为在所需范围内 $\cos x-\sin x\ne 0$,故 $\cos x+\sin x-\sin x\cos x=0$。两边平方并利用 $2\sin x\cos x=\sin(2x)$,得到 $$1+\sin(2x)=\frac14\sin^2(2x).$$ 把 $\sin(2x)$ 视为变量解此二次方程,得 $\sin(2x)=2\pm2\sqrt2$。由于 $-1<\sin2x<1$,唯一可行解为 $\sin(2x)=2-2\sqrt2$。确有这样的梯形,对应 $$x=180^\circ+\frac12\arcsin(2-2\sqrt2)\approx152.031^\circ.$$
Q21
Consider the set of 30 parabolas defined as follows: all parabolas have as focus the point $(0,0)$ and the directrix lines have the form $y=ax+b$ with $a$ and $b$ integers such that $a\in\{-2,-1,0,1,2\}$ and $b\in\{-3,-2,-1,1,2,3\}$. No three of these parabolas have a common point. How many points in the plane are on two of these parabolas?
考虑如下定义的 30 条抛物线的集合:所有抛物线的焦点都是点 $(0,0)$,其准线为形如 $y=ax+b$ 的直线,其中 $a,b$ 为整数,且 $a\in\{-2,-1,0,1,2\}$、$b\in\{-3,-2,-1,1,2,3\}$。这些抛物线中任意三条没有公共点。问:平面上有多少个点恰好落在其中两条抛物线上?
Correct Answer: C
Answer (C): If the directrices of two parabolas with the same focus intersect, then the corresponding parabolas intersect in exactly two points. The same conclusion holds if the directrices are parallel and the focus is between the two lines. Moreover, if the directrices are parallel and the focus is not between the two lines, then the corresponding parabolas do not intersect. Indeed, a point $C$ belongs to the intersection of the parabolas with focus $O$ and directrices $\ell_1$ and $\ell_2$, if and only if, $d(C,\ell_1)=OC=d(C,\ell_2)$. That is, the circle with center $C$ and radius $OC$ is tangent to both $\ell_1$ and $\ell_2$. If $\ell_1$ and $\ell_2$ are parallel and $O$ is not between them, then clearly such circle does not exist. If $\ell_1$ and $\ell_2$ intersect and $O$ is not on them, then there are are exactly two circles tangent to both $\ell_1$ and $\ell_2$ that go through $O$. The same is true if $\ell_1$ and $\ell_2$ are parallel and $O$ is between them. Thus there are $\binom{30}{2}$ pairs of parabolas and the pairs that do not intersect are exactly those whose directrices have the same slope and whose $y$-intercepts have the same sign. There are 5 different slopes and $2\cdot\binom{3}{2}=6$ pairs of $y$-intercepts with the same sign taken from $\{-3,-2,-1,1,2,3\}$. Because the pairs of parabolas that intersect do so at exactly two points and no point is in three parabolas, it follows that the total number of intersection points is \[ 2\left(\binom{30}{2}-5\cdot 6\right)=810. \] Note: It is possible to construct the two circles through $O$ and tangent to the lines $\ell_1$ and $\ell_2$ as follows: Let $\ell'$ be the bisector of the angle determined by the angular sector spanned by $\ell_1$ and $\ell_2$ that contains $O$ (or the midline of $\ell_1$ and $\ell_2$ if these lines are parallel and $O$ is between them). Let $Q$ be the symmetric point of $O$ with respect to $\ell'$ and let $P$ be the intersection of $\ell_1$ and the line $OQ$ (if $O=Q$ then let $P$ be the intersection of $\ell_1$ and a perpendicular line to $\ell'$ by $O$). If $C$ is one of the desired circles, then $C$ passes through $O$ and $Q$ and is tangent to $\ell_1$. Let $T$ be the point of tangency of $C$ and $\ell_1$. By the Power of a Point Theorem, $PT^2=PO\cdot PQ$. The circle with center $P$ and radius $\sqrt{PO\cdot PQ}$ intersects $\ell_1$ in two points $T_1$ and $T_2$. The circumcircles of $OQT_1$ and $OQT_2$ are the desired circles.
答案(C):如果两条具有相同焦点的抛物线的准线相交,那么对应的两条抛物线恰好相交于两点。若准线平行且焦点位于两条直线之间,同样结论成立。此外,若准线平行且焦点不在两线之间,则对应抛物线不相交。事实上,点 $C$ 属于以 $O$ 为焦点、以 $\ell_1$ 与 $\ell_2$ 为准线的两条抛物线的交集,当且仅当 $d(C,\ell_1)=OC=d(C,\ell_2)$。也就是说,以 $C$ 为圆心、$OC$ 为半径的圆同时与 $\ell_1$、$\ell_2$ 相切。若 $\ell_1$ 与 $\ell_2$ 平行且 $O$ 不在它们之间,则显然不存在这样的圆。若 $\ell_1$ 与 $\ell_2$ 相交且 $O$ 不在它们上,则恰有两个同时与 $\ell_1$、$\ell_2$ 相切并且经过 $O$ 的圆。若 $\ell_1$ 与 $\ell_2$ 平行且 $O$ 位于它们之间,也同样如此。 因此共有 $\binom{30}{2}$ 对抛物线;其中不相交的那些对,恰好是准线斜率相同且 $y$ 截距同号的那些对。斜率共有 5 种,而从集合 $\{-3,-2,-1,1,2,3\}$ 中取同号的 $y$ 截距对共有 $2\cdot\binom{3}{2}=6$ 对。由于相交的每一对抛物线恰相交于两点,且没有点同时落在三条抛物线上,于是交点总数为 \[ 2\left(\binom{30}{2}-5\cdot 6\right)=810. \] 注:可以如下作出经过 $O$ 且与直线 $\ell_1$、$\ell_2$ 相切的两个圆:设 $\ell'$ 为由 $\ell_1$ 与 $\ell_2$ 张成并包含 $O$ 的角的角平分线(若两线平行且 $O$ 在它们之间,则取两线的中线)。令 $Q$ 为点 $O$ 关于 $\ell'$ 的对称点,并令 $P$ 为 $\ell_1$ 与直线 $OQ$ 的交点(若 $O=Q$,则令 $P$ 为 $\ell_1$ 与过 $O$ 且垂直于 $\ell'$ 的直线的交点)。若 $C$ 是所求圆之一,则 $C$ 过 $O$ 与 $Q$,且与 $\ell_1$ 相切。设 $T$ 为 $C$ 与 $\ell_1$ 的切点。由点的幂定理,$PT^2=PO\cdot PQ$。以 $P$ 为圆心、半径 $\sqrt{PO\cdot PQ}$ 的圆与 $\ell_1$ 交于两点 $T_1$、$T_2$。三角形 $OQT_1$ 与 $OQT_2$ 的外接圆即为所求两圆。
solution
Q22
Let $m>1$ and $n>1$ be integers. Suppose that the product of the solutions for $x$ of the equation $$8(\log_{n} x)(\log_{m} x)-7\log_{n} x-6\log_{m} x-2013=0$$ is the smallest possible integer. What is $m+n$?
设 $m>1$ 且 $n>1$ 为整数。已知方程 $$8(\log_{n} x)(\log_{m} x)-7\log_{n} x-6\log_{m} x-2013=0$$ 的所有解 $x$ 的乘积是可能取得的最小整数。求 $m+n$。
Correct Answer: A
Answer (A): Using the change of base identity gives $\log n\cdot \log_n x=\log x$ and $\log m\cdot \log_m x=\log x$. The equivalent equation is $$(\log x)^2-\frac18(7\log m+6\log n)\log x-\frac{2013}{8}\log m\cdot \log n=0.$$ As a quadratic equation in $\log x$, the sum of the two solutions $\log x_1$ and $\log x_2$ is equal to the negative of the linear coefficient. It follows that $$\log(x_1x_2)=\log x_1+\log x_2=\frac18(7\log m+6\log n)=\log\left((m^7n^6)^{1/8}\right).$$ Let $N=x_1x_2$ be the product of the solutions. Suppose $p$ is a prime dividing $m$. Let $p^a$ and $p^b$ be the largest powers of $p$ that divide $m$ and $n$ respectively. Then $p^{7a+6b}$ is the largest power of $p$ that divides $m^7n^6=N^8$. It follows that $7a+6b\equiv 0\pmod 8$. If $a$ is odd, then there is no solution to $7a+6b\equiv 0\pmod 8$ because $7a$ is not divisible by $\gcd(6,8)=2$. If $a\equiv 0\pmod 8$, then because $a>0$, it follows that $N^8=m^7n^6\ge (p^8)^7=p^{56}\ge 2^{56}$, so $N\ge 2^7=128$. If $a\equiv 2\pmod 8$ then $14+6b\equiv 0\pmod 8$ is equivalent to $3b+3\equiv 3b+7\equiv 0\pmod 4$. Thus $b\equiv 3\pmod 4$ and then $N^8=m^7n^6\ge (p^2)^7(p^3)^6=p^{32}\ge 2^{32}$, so $N\ge 2^4=16$ with equality for $m=2^2$ and $n=2^3$. Finally, if $a\ge 4$ and $a$ is not a multiple of $8$, then $b\ge 1$ and thus $N^8=m^7n^6\ge (p^4)^7(p^1)^6=p^{34}\ge 2^{34}$, so $N\ge 2^{17/4}>2^4=16$. Therefore the minimum product is $N=16$ obtained uniquely when $m=2^2$ and $n=2^3$. The requested sum is $m+n=4+8=12$.
答案(A): 利用换底公式可得 $\log n\cdot \log_n x=\log x$ 且 $\log m\cdot \log_m x=\log x$。等价方程为 $$(\log x)^2-\frac18(7\log m+6\log n)\log x-\frac{2013}{8}\log m\cdot \log n=0。$$ 把它看作关于 $\log x$ 的二次方程,两根 $\log x_1$ 与 $\log x_2$ 的和等于一次项系数的相反数。因此 $$\log(x_1x_2)=\log x_1+\log x_2=\frac18(7\log m+6\log n)=\log\left((m^7n^6)^{1/8}\right)。$$ 令 $N=x_1x_2$ 为两根的乘积。设 $p$ 为整除 $m$ 的素数。令 $p^a$ 与 $p^b$ 分别为 $p$ 在 $m$ 与 $n$ 中出现的最大幂次。则 $p^{7a+6b}$ 是整除 $m^7n^6=N^8$ 的最大 $p$ 幂,故 $7a+6b\equiv 0\pmod 8$。若 $a$ 为奇数,则方程 $7a+6b\equiv 0\pmod 8$ 无解,因为 $7a$ 不被 $\gcd(6,8)=2$ 整除。若 $a\equiv 0\pmod 8$,由于 $a>0$,有 $$N^8=m^7n^6\ge (p^8)^7=p^{56}\ge 2^{56},$$ 所以 $N\ge 2^7=128$。若 $a\equiv 2\pmod 8$,则 $14+6b\equiv 0\pmod 8$ 等价于 $3b+3\equiv 3b+7\equiv 0\pmod 4$,从而 $b\equiv 3\pmod 4$,并且 $$N^8=m^7n^6\ge (p^2)^7(p^3)^6=p^{32}\ge 2^{32},$$ 因此 $N\ge 2^4=16$,当 $m=2^2$、$n=2^3$ 时取等号。最后,若 $a\ge 4$ 且 $a$ 不是 $8$ 的倍数,则 $b\ge 1$,从而 $$N^8=m^7n^6\ge (p^4)^7(p^1)^6=p^{34}\ge 2^{34},$$ 所以 $N\ge 2^{17/4}>2^4=16$。因此最小乘积为 $N=16$,且仅在 $m=2^2$、$n=2^3$ 时取得。所求和为 $m+n=4+8=12$。
Q23
Bernardo chooses a three-digit positive integer $N$ and writes both its base-5 and base-6 representations on a blackboard. Later LeRoy sees the two numbers Bernardo has written. Treating the two numbers as base-10 integers, he adds them to obtain an integer $S$. For example, if $N=749$, Bernardo writes the numbers $10{,}444$ and $3{,}245$, and LeRoy obtains the sum $S=13{,}689$. For how many choices of $N$ are the two rightmost digits of $S$, in order, the same as those of $2N$?
伯纳多选择一个三位正整数 $N$,并把它的五进制表示和六进制表示都写在黑板上。后来勒罗伊看到了伯纳多写下的两个数。他把这两个数都当作十进制整数相加,得到整数 $S$。例如,当 $N=749$ 时,伯纳多写下 $10{,}444$ 和 $3{,}245$,勒罗伊算得 $S=13{,}689$。问有多少个 $N$ 的取值,使得 $S$ 的最右边两位数字(按顺序)与 $2N$ 的最右边两位数字相同?
Correct Answer: E
Answer (E): Expand the set of three-digit positive integers to include integers $N$, $0 \le N \le 99$, with leading zeros appended. Because $\mathrm{lcm}(5^2,6^2,10^2)=900$, such an integer $N$ meets the required condition if and only if $N+900$ does. Therefore $N$ can be considered to be chosen from the set of integers between $000$ and $899$, inclusive. Suppose that the last two digits in order of the base-5 representation of $N$ are $a_1$ and $a_0$. Similarly, suppose that the last two digits of the base-6 representation of $N$ are $b_1$ and $b_0$. By assumption, $2N \equiv a_0+b_0 \pmod{10}$, but $N \equiv a_0 \pmod{5}$ and so $$ a_0+b_0 \equiv 2N \equiv 2a_0 \pmod{10}. $$ Thus $a_0 \equiv b_0 \pmod{10}$ and because $0 \le a_0 \le 4$ and $0 \le b_0 \le 5$, it follows that $a_0=b_0$. Because $N \equiv a_0 \pmod{5}$, it follows that there is an integer $N_1$ such that $N=5N_1+a_0$. Also, $N \equiv a_0 \pmod{6}$ implies that $5N_1+a_0 \equiv a_0 \pmod{6}$ and so $N_1 \equiv 0 \pmod{6}$. It follows that $N_1=6N_2$ for some integer $N_2$ and so $N=30N_2+a_0$. Similarly, $N \equiv 5a_1+a_0 \pmod{25}$ implies that $30N_2+a_0 \equiv 5a_1+a_0 \pmod{25}$ and then $N_2 \equiv 6N_2 \equiv a_1 \pmod{5}$. It follows that $N_2=5N_3+a_1$ for some integer $N_3$ and so $N=150N_3+30a_1+a_0$. Once more, $N \equiv 6b_1+a_0 \pmod{36}$ implies that $6N_3-6a_1+a_0 \equiv 150N_3+30a_1+a_0 \equiv 6b_1+a_0 \pmod{36}$ and then $N_3 \equiv a_1+b_1 \pmod{6}$. It follows that $N_3=6N_4+a_1+b_1$ for some integer $N_4$ and so $N=900N_4+180a_1+150b_1+a_0$. Finally, $2N \equiv 10(a_1+b_1)+2a_0 \pmod{100}$ implies that $$ 60a_1+2a_0 \equiv 360a_1+300b_1+2a_0 \equiv 10a_1+10b_1+2a_0 \pmod{100}. $$ Therefore $5a_1 \equiv b_1 \pmod{10}$, equivalently, $b_1 \equiv 0 \pmod{5}$ and $a_1 \equiv b_1 \pmod{2}$. Conversely, if $N=900N_4+180a_1+150b_1+a_0$, $a_0=b_0$, and $5a_1 \equiv b_1 \pmod{10}$, then $2N \equiv 60a_1+2a_0 =10(a_1+5a_1)+a_0+b_0 \equiv 10(a_1+b_1)+(a_0+b_0) \pmod{100}$. Because $0 \le a_1 \le 4$ and $0 \le b_1 \le 5$, it follows that there are exactly $5$ different pairs $(a_1,b_1)$, namely $(0,0)$, $(2,0)$, $(4,0)$, $(1,5)$, and $(3,5)$. Each of these can be combined with $5$ different values of $a_0$ ($0 \le a_0 \le 4$), to determine exactly $25$ different numbers $N$ with the required property.
解答(E):将三位正整数的集合扩展为包含整数 $N$($0 \le N \le 99$),并在前面补零。因为 $\mathrm{lcm}(5^2,6^2,10^2)=900$,这样的整数 $N$ 满足所需条件当且仅当 $N+900$ 也满足。因此可以认为 $N$ 从 $000$ 到 $899$(含端点)的整数中选取。设 $N$ 的五进制表示中按顺序最后两位为 $a_1$ 和 $a_0$。同样地,设 $N$ 的六进制表示中最后两位为 $b_1$ 和 $b_0$。由题设,$2N \equiv a_0+b_0 \pmod{10}$,但 $N \equiv a_0 \pmod{5}$,因此 $$ a_0+b_0 \equiv 2N \equiv 2a_0 \pmod{10}. $$ 于是 $a_0 \equiv b_0 \pmod{10}$,又因为 $0 \le a_0 \le 4$ 且 $0 \le b_0 \le 5$,可得 $a_0=b_0$。由于 $N \equiv a_0 \pmod{5}$,存在整数 $N_1$ 使得 $N=5N_1+a_0$。另外,$N \equiv a_0 \pmod{6}$ 推出 $5N_1+a_0 \equiv a_0 \pmod{6}$,从而 $N_1 \equiv 0 \pmod{6}$。因此对某个整数 $N_2$ 有 $N_1=6N_2$,于是 $N=30N_2+a_0$。类似地,$N \equiv 5a_1+a_0 \pmod{25}$ 推出 $30N_2+a_0 \equiv 5a_1+a_0 \pmod{25}$,进而 $N_2 \equiv 6N_2 \equiv a_1 \pmod{5}$。因此对某个整数 $N_3$ 有 $N_2=5N_3+a_1$,于是 $N=150N_3+30a_1+a_0$。再进一步,$N \equiv 6b_1+a_0 \pmod{36}$ 推出 $6N_3-6a_1+a_0 \equiv 150N_3+30a_1+a_0 \equiv 6b_1+a_0 \pmod{36}$, 从而 $N_3 \equiv a_1+b_1 \pmod{6}$。因此对某个整数 $N_4$ 有 $N_3=6N_4+a_1+b_1$,于是 $N=900N_4+180a_1+150b_1+a_0$。最后,$2N \equiv 10(a_1+b_1)+2a_0 \pmod{100}$ 蕴含 $$ 60a_1+2a_0 \equiv 360a_1+300b_1+2a_0 \equiv 10a_1+10b_1+2a_0 \pmod{100}. $$ 因此 $5a_1 \equiv b_1 \pmod{10}$;等价地,$b_1 \equiv 0 \pmod{5}$ 且 $a_1 \equiv b_1 \pmod{2}$。反过来,若 $N=900N_4+180a_1+150b_1+a_0$、$a_0=b_0$ 且 $5a_1 \equiv b_1 \pmod{10}$,则 $2N \equiv 60a_1+2a_0 =10(a_1+5a_1)+a_0+b_0 \equiv 10(a_1+b_1)+(a_0+b_0) \pmod{100}$。 由于 $0 \le a_1 \le 4$ 且 $0 \le b_1 \le 5$,可知恰有 $5$ 对不同的 $(a_1,b_1)$,分别为 $(0,0)$、$(2,0)$、$(4,0)$、$(1,5)$、$(3,5)$。每一对又可与 $5$ 个不同的 $a_0$ 取值($0 \le a_0 \le 4$)组合,从而得到恰好 $25$ 个满足所需性质的不同整数 $N$。
Q24
Let $ABC$ be a triangle where $M$ is the midpoint of $\overline{AC}$, and $\overline{CN}$ is the angle bisector of $\angle ACB$ with $N$ on $\overline{AB}$. Let $X$ be the intersection of the median $\overline{BM}$ and the bisector $\overline{CN}$. In addition $\triangle BXN$ is equilateral and $AC=2$. What is $BN^2$?
设$ABC$为一三角形,$M$为$\overline{AC}$的中点,$\overline{CN}$为$\angle ACB$的角平分线,且$N$在$\overline{AB}$上。设$X$为中线$\overline{BM}$与角平分线$\overline{CN}$的交点。另有$\triangle BXN$为等边三角形,且$AC=2$。求$BN^2$。
Correct Answer: A
Answer (A): Let $\alpha=\angle ACN=\angle NCB$ and $x=BN$. Because $\triangle BXN$ is equilateral it follows that $\angle BXC=\angle CNA=120^\circ$, $\angle CBX=\angle BAC=60^\circ-\alpha$, and $\angle CBA=\angle BMC=120^\circ-\alpha$. Thus $\triangle ABC\sim\triangle BMC$ and $\triangle ANC\sim\triangle BXC$. Then $$ \frac{BC}{2}=\frac{BC}{AC}=\frac{MC}{BC}=\frac{1}{BC}, $$ so $BC=\sqrt2$; and $$ \frac{CX+x}{2}=\frac{CN}{AC}=\frac{CX}{BC}=\frac{CX}{\sqrt2}, $$ so $CX=(\sqrt2+1)x$. Let $P$ be the midpoint of $XN$. Because $\triangle BXN$ is equilateral, the triangle $BPC$ is a right triangle with $\angle BPC=90^\circ$. Then by the Pythagorean Theorem, $$ 2=BC^2=CP^2+PB^2=(CX+XP)^2+PB^2 $$ $$ =\left(CX+\frac12 BN\right)^2+\left(\frac{\sqrt3}{2}BN\right)^2 $$ $$ =\left(\sqrt2+\frac32\right)^2x^2+\left(\frac{\sqrt3}{2}\right)^2x^2=(5+3\sqrt2)x^2. $$ Therefore $$ x^2=\frac{2}{5+3\sqrt2}=\frac{10-6\sqrt2}{7}. $$ OR Establish as in the first solution that $CX=(\sqrt2+1)x$. Then the Law of Cosines applied to $\triangle BCX$ gives $$ 2=BC^2=BX^2+CX^2-2BX\cdot CX\cdot\cos(120^\circ) $$ $$ =x^2+(1+\sqrt2)^2x^2+(1+\sqrt2)x^2 $$ $$ =(5+3\sqrt2)x^2, $$ and solving for $x^2$ gives the requested answer.
答案(A):令 $\alpha=\angle ACN=\angle NCB$,并令 $x=BN$。因为 $\triangle BXN$ 是等边三角形,所以有 $\angle BXC=\angle CNA=120^\circ$,$\angle CBX=\angle BAC=60^\circ-\alpha$,且 $\angle CBA=\angle BMC=120^\circ-\alpha$。因此 $\triangle ABC\sim\triangle BMC$ 且 $\triangle ANC\sim\triangle BXC$。于是 $$ \frac{BC}{2}=\frac{BC}{AC}=\frac{MC}{BC}=\frac{1}{BC}, $$ 所以 $BC=\sqrt2$;并且 $$ \frac{CX+x}{2}=\frac{CN}{AC}=\frac{CX}{BC}=\frac{CX}{\sqrt2}, $$ 所以 $CX=(\sqrt2+1)x$。 令 $P$ 为 $XN$ 的中点。由于 $\triangle BXN$ 是等边三角形,三角形 $BPC$ 为直角三角形,且 $\angle BPC=90^\circ$。由勾股定理, $$ 2=BC^2=CP^2+PB^2=(CX+XP)^2+PB^2 $$ $$ =\left(CX+\frac12 BN\right)^2+\left(\frac{\sqrt3}{2}BN\right)^2 $$ $$ =\left(\sqrt2+\frac32\right)^2x^2+\left(\frac{\sqrt3}{2}\right)^2x^2=(5+3\sqrt2)x^2。 $$ 因此 $$ x^2=\frac{2}{5+3\sqrt2}=\frac{10-6\sqrt2}{7}. $$ 或者 同第一种解法可得 $CX=(\sqrt2+1)x$。对 $\triangle BCX$ 应用余弦定理: $$ 2=BC^2=BX^2+CX^2-2BX\cdot CX\cdot\cos(120^\circ) $$ $$ =x^2+(1+\sqrt2)^2x^2+(1+\sqrt2)x^2 $$ $$ =(5+3\sqrt2)x^2, $$ 解出 $x^2$ 即为所求答案。
solution
Q25
Let $G$ be the set of polynomials of the form $P(z)=z^n+c_{n-1}z^{n-1}+\cdots+c_2z^2+c_1z+50,$ where $c_1,c_2,\ldots,c_{n-1}$ are integers and $P(z)$ has $n$ distinct roots of the form $a+ib$ with $a$ and $b$ integers. How many polynomials are in $G$?
设 $G$ 为如下形式多项式的集合: $P(z)=z^n+c_{n-1}z^{n-1}+\cdots+c_2z^2+c_1z+50,$ 其中 $c_1,c_2,\ldots,c_{n-1}$ 为整数,并且 $P(z)$ 有 $n$ 个互不相同的根,形如 $a+ib$,其中 $a,b$ 为整数。问集合 $G$ 中有多少个多项式?
Correct Answer: B
Answer (B): Let $P(z)$ be a polynomial in $G$. Because the coefficients of $P(z)$ are real, it follows that the nonreal roots of $P(z)$ must be paired by conjugates; that is, if $a+ib$ is a root, then $a-ib$ is a root as well. In particular, $P(z)$ can be factored into the product of pairwise different linear polynomials of the form $(z-c)$ with $c\in\mathbb{Z}$ and quadratic polynomials of the form $(z-(a+ib))(z-(a-ib))=z^2-2az+(a^2+b^2)$ with $a,b\in\mathbb{Z}$ and $b\ne 0$. Moreover, the product of the independent terms of these polynomials must be equal to $50$, so each of $a^2+b^2$ or $c$ must be a factor of $50$. Call these linear or quadratic polynomials basic and for every $d\in\{1,2,5,10,25,50\}$, let $B_d$ be the set of basic polynomials with independent term equal to $\pm d$. The equation $a^2+b^2=1$ has a pair of conjugate solutions in integers with $b\ne 0$, namely $(a,b)=(0,\pm 1)$. Thus there is only $1$ basic quadratic polynomial with independent term of magnitude $1$: $(z-i)(z+i)=z^2+1$. Similarly, the equation $a^2+b^2=2$ has $2$ pairs of conjugate solutions with $b\ne 0$, $(a,b)=(1,\pm 1)$ and $(-1,\pm 1)$. These give the following $2$ basic polynomials with independent term $\pm 2$: $(z-1-i)(z-1+i)=z^2-2z+2$ and $(z+1+i)(z+1-i)=z^2+2z-2$. In the same way the equations $a^2+b^2=5$, $a^2+b^2=10$, $a^2+b^2=25$, and $a^2+b^2=50$ have $4$, $4$, $5$, and $6$ respective pairs of conjugate solutions $(a,b)$. These are $(2,\pm 1)$, $(-2,\pm 1)$, $(1,\pm 2)$, and $(-1,\pm 2)$; $(3,\pm 1)$, $(-3,\pm 1)$, $(1,\pm 3)$, and $(-1,\pm 3)$; $(3,\pm 4)$, $(-3,\pm 4)$, $(4,\pm 3)$, $(-4,\pm 3)$, and $(0,\pm 5)$; and $(7,\pm 1)$, $(-7,\pm 1)$, $(1,\pm 7)$, $(-1,\pm 7)$, $(5,\pm 5)$, and $(-5,\pm 5)$. These generate all possible basic quadratic polynomials with nonreal roots and independent term that divides $50$. The basic linear polynomials with real roots are $z-c$ where $c\in\{\pm 1,\pm 2,\pm 5,\pm 10,\pm 25,\pm 50\}$. Thus the linear basic polynomials contribute $2$ to $|B_d|$. It follows that $|B_1|=3$, $|B_2|=4$, $|B_5|=6$, $|B_{10}|=6$, $|B_{25}|=7$, and $|B_{50}|=8$. Because $P$ has independent term $50$, there are either $8$ choices for a polynomial in $B_{50}$, or $7\cdot 4$ choices for a product of two polynomials, one in $B_{25}$ and the other in $B_2$, or $6\cdot 6$ choices for a product of two polynomials, one in $B_{10}$ and the other in $B_5$, or $4\cdot \binom{6}{2}$ choices for a product of three polynomials, one in $B_2$ and the other two in $B_5$. Finally, each of the polynomials $z+1$ and $z^2+1$ in $B_1$ can appear or not in the product, but the presence of the polynomial $z-1$ is determined by the rest: if the product of the remaining independent terms is $-50$, then it has to be present, and if the product is $50$, then it must not be in the product. Thus, the grand total is $$ 2^2\left(8+7\cdot 4+6\cdot 6+4\cdot \binom{6}{2}\right)=2^2(8+28+36+60)=4\cdot 132=528. $$
答案(B):设$P(z)$是$G$中的一个多项式。由于$P(z)$的系数为实数,可知$P(z)$的非实根必须成共轭对出现;也就是说,如果$a+ib$是一个根,那么$a-ib$也是一个根。特别地,$P(z)$可以分解为两两不同的线性多项式$(z-c)$(其中$c\in\mathbb{Z}$)与二次多项式 $(z-(a+ib))(z-(a-ib))=z^2-2az+(a^2+b^2)$(其中$a,b\in\mathbb{Z}$且$b\ne 0$)的乘积。此外,这些多项式的常数项(独立项)的乘积必须等于$50$,因此每个$a^2+b^2$或$c$都必须是$50$的一个因子。称这些线性或二次多项式为基本多项式;对每个$d\in\{1,2,5,10,25,50\}$,令$B_d$表示所有常数项等于$\pm d$的基本多项式的集合。 方程$a^2+b^2=1$在整数中且$b\ne 0$时只有一对共轭解,即$(a,b)=(0,\pm 1)$。因此,常数项绝对值为$1$的基本二次多项式只有$1$个:$(z-i)(z+i)=z^2+1$。类似地,方程$a^2+b^2=2$有$2$对满足$b\ne 0$的共轭整数解:$(a,b)=(1,\pm 1)$与$(-1,\pm 1)$。它们给出下面$2$个常数项为$\pm 2$的基本多项式:$(z-1-i)(z-1+i)=z^2-2z+2$以及$(z+1+i)(z+1-i)=z^2+2z-2$。同理,方程$a^2+b^2=5$、$a^2+b^2=10$、$a^2+b^2=25$与$a^2+b^2=50$分别有$4$、$4$、$5$、$6$对共轭整数解$(a,b)$。它们分别是$(2,\pm 1)$、$(-2,\pm 1)$、$(1,\pm 2)$、$(-1,\pm 2)$;$(3,\pm 1)$、$(-3,\pm 1)$、$(1,\pm 3)$、$(-1,\pm 3)$;$(3,\pm 4)$、$(-3,\pm 4)$、$(4,\pm 3)$、$(-4,\pm 3)$、$(0,\pm 5)$;以及$(7,\pm 1)$、$(-7,\pm 1)$、$(1,\pm 7)$、$(-1,\pm 7)$、$(5,\pm 5)$、$(-5,\pm 5)$。这些解生成了所有可能的、具有非实根且常数项整除$50$的基本二次多项式。具有实根的基本线性多项式为$z-c$,其中$c\in\{\pm 1,\pm 2,\pm 5,\pm 10,\pm 25,\pm 50\}$。因此线性基本多项式对$|B_d|$的贡献是$2$。由此得到$|B_1|=3$,$|B_2|=4$,$|B_5|=6$,$|B_{10}|=6$,$|B_{25}|=7$,$|B_{50}|=8$。 由于$P$的常数项为$50$,因此要么有$8$种选择取$B_{50}$中的一个多项式;要么有$7\cdot 4$种选择取两个多项式的乘积(一个来自$B_{25}$,另一个来自$B_2$);要么有$6\cdot 6$种选择取两个多项式的乘积(一个来自$B_{10}$,另一个来自$B_5$);要么有$4\cdot \binom{6}{2}$种选择取三个多项式的乘积(一个来自$B_2$,另外两个来自$B_5$)。最后,$B_1$中的$z+1$与$z^2+1$这两个多项式可以选择出现或不出现,但$z-1$是否出现由其余部分决定:若其余常数项的乘积为$-50$,则必须包含$z-1$;若乘积为$50$,则不得包含$z-1$。因此总数为 $$ 2^2\left(8+7\cdot 4+6\cdot 6+4\cdot \binom{6}{2}\right)=2^2(8+28+36+60)=4\cdot 132=528. $$